Chapter-10. Gravitation Science class 9 in english Medium CBSE Notes
CBSE Class 9 Science Notes in English Medium based on latest NCERT syllabus, covering definitions, diagrams, formulas, and exam-oriented explanations.
10. Gravitation
Free Fall
Free Fall : Whenever objects fall towards the earth under this force alone, we
say that the objects are in free fall.
Falling objects have the following properties:
(i) There is no change in the direction of motion of the objects.
(ii) due to the earth’s attraction, there will be a change in the magnitude of the velocity.
(iii) Any change in velocity involves acceleration.
(iv) Whenever an object falls towards the earth, an acceleration is involved.
(v) This acceleration is due to the earth’s gravitational force.
Acceleration due to gravity:
Whenever an object falls towards the earth, an acceleration is involved. This acceleration is due to the earth’s gravitational force. This acceleration is called acceleration due to gravity.
It is denoted by g. The unit of g is the same as that of acceleration, that is, ms-2.
We know from the second law of motion that force is the product of mass and
acceleration.
F = ma
We already know that there is acceleration involved in falling objects due
to the gravitational force and is denoted by g.
Here we use g as accelaration of falling object.
Now, We have
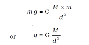
F = mg
Now we can derive two other formula

The value of "g" is differ at different place of Earth:
The earth is not a perfect sphere. As the radius of the earth increases from the poles to the equator, the value of g becomes greater at the poles than at the equator.

Where on the value of g is greater the weight of any object also increases due to the gravity force. While where is the greater radius like equator the weight of an object also decreases.
See other sub-topics of this chapter:
1. The Universal Law of gravitation
Welcome to ATP Education
ATP Education